Cabildo Insular de Gran CanariaEl Consejo de Gobierno del Cabildo de Gran Canaria, a propuesta de la Consejería de Política Social, Accesibilidad, Igualdad y Diversidad, que dirige Isabel Mena, ha aprobado el Programa de Colaboración con los Ayuntamientos de la Isla para la prestación de Servicios Sociales Básicos y Especializados, dotándolo con una financiación total de 5.000.000 euros para las anualidades 2025-2026.
Con la aprobación de este programa, el Cabildo de Gran Canaria, a través del área de Política Social, “va a continuar fortaleciendo la red municipal, reforzando la calidad y continuidad de sus servicios sociales básicos y especializados con el apoyo económico que supone esta línea de subvenciones directas, cumpliendo así con lo establecido en el Plan Estratégico de Subvenciones 2025”, ha subrayado la consejera Isabel Mena.
La financiación aprobada va destinada a las siguientes líneas de actuación:
-
Actuaciones dirigidas a personas que, por razones derivadas de la edad, la enfermedad o la discapacidad, requieren servicios y atención de ayuda a domicilio y respiro familiar para la realización de las actividades de la vida cotidiana, de cara a fomentar su permanencia en el domicilio. Estas actuaciones podrán ser de carácter doméstico, de carácter personal, de respiro (dirigidas a familias y/o cuidadores que conviven y atienden de manera habitual y continuada en su domicilio a familiares dependientes.
-
Actuaciones de ocio y tiempo libre dirigidas al colectivo de personas mayores, personas con discapacidad y menores, que promuevan su integración social.
-
Actuaciones dirigidas a los menores que promuevan medidas para la protección y preservación de su entorno familiar.
-
Actuaciones dirigidas a personas en situación o en riesgo de exclusión social cuya
finalidad u objetivo sea el establecer medidas de carácter integral.
-
Actuaciones que prevengan o palien las situaciones de riesgo de exclusión social (prevención e inserción en el ámbito de las drogodependencias y otras adicciones, atención a población inmigrante, etc.) siempre que se acredite la situación de necesidad y la insuficiencia de recursos.
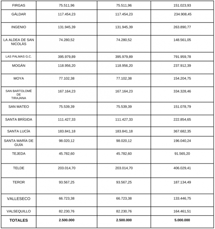
Cuantía de las subvenciones
El importe máximo de subvención que se podrá conceder a cada ayuntamiento beneficiario es el siguiente:
![[Img #29156]](https://infonortedigital.com/upload/images/06_2025/5875_tablaa.png)
![[Img #29157]](https://infonortedigital.com/upload/images/06_2025/21_tablab.png)
































Normas de participación
Esta es la opinión de los lectores, no la de este medio.
Nos reservamos el derecho a eliminar los comentarios inapropiados.
La participación implica que ha leído y acepta las Normas de Participación y Política de Privacidad
Normas de Participación
Política de privacidad
Por seguridad guardamos tu IP
216.73.216.15